Back to search results
Back to search results
Bracklaghboy, Ballyhaunis, Co. Mayo
€ 40,000
Site For Sale
|
0.75 ac
|SALE AGREED
Property Overview:
- For Sale by: Private-treaty
Property Description
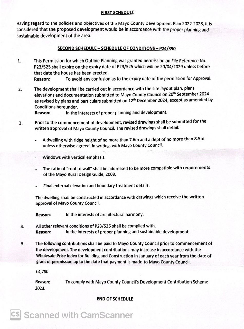
APP Kirrane Auctioneering are delighted to offer for sale this exceptional opportunity to acquire a large site with full planning permission for a detached dormer bungalow home located in a prime location of Bracklaghaboy on the Ballyhaunis to Knock Road. This site offers the opportunity to acquire additional land if required.
An ideal opportunity to build your dream home and customise it to your requirements without having to wait for planning permission. Take advantage of the long summer evenings and get building your home. Surrounded by similar bespoke detached dwellings and within walking distance of Ballyhaunis town centre, schools, a variety of shops, public houses, restaurants, service providers and an array of employment opportunities. Regular Westport to Dublin train service.
A short drive to Ireland West Airport, Knock Shrine, Claremorris, Kiltimagh, Castlerea, Cloonfad Scenic walks, a selection of fishing lakes, sporting and leisure facilities. Only an hours drive to Galway, Sligo, Athlone or Westport makes this a central location for commuting families.
For further information or to arrange viewing please make contact with APP Kirrane Auctioneering, where everything we touch turns to SOLD.
Please Note: These particulars are for general information only for this property. The details contained are not to be relied upon as statements or representations of fact. Whilst every care is taken in the preparation of the property details, neither APP Kirrane Auctioneering or the vendor accept any liability for the details contained in the description of the property. The interested persons must satisfy themselves by viewing the property or employ somebody to inspect the property on their behalf. No Auctioneer or Staff Member employed by APP Kirrane Auctioneering in either; Main Street, Ballyhaunis, Co. Mayo or Bohermore, Galway has any authority to make or give any representation or warranty whatever in relation to this property.
An ideal opportunity to build your dream home and customise it to your requirements without having to wait for planning permission. Take advantage of the long summer evenings and get building your home. Surrounded by similar bespoke detached dwellings and within walking distance of Ballyhaunis town centre, schools, a variety of shops, public houses, restaurants, service providers and an array of employment opportunities. Regular Westport to Dublin train service.
A short drive to Ireland West Airport, Knock Shrine, Claremorris, Kiltimagh, Castlerea, Cloonfad Scenic walks, a selection of fishing lakes, sporting and leisure facilities. Only an hours drive to Galway, Sligo, Athlone or Westport makes this a central location for commuting families.
For further information or to arrange viewing please make contact with APP Kirrane Auctioneering, where everything we touch turns to SOLD.
Please Note: These particulars are for general information only for this property. The details contained are not to be relied upon as statements or representations of fact. Whilst every care is taken in the preparation of the property details, neither APP Kirrane Auctioneering or the vendor accept any liability for the details contained in the description of the property. The interested persons must satisfy themselves by viewing the property or employ somebody to inspect the property on their behalf. No Auctioneer or Staff Member employed by APP Kirrane Auctioneering in either; Main Street, Ballyhaunis, Co. Mayo or Bohermore, Galway has any authority to make or give any representation or warranty whatever in relation to this property.
Facilities:
- Full planning permission
- On the main Ballyhaunis to Knock Road
- Large site with option to purchase further land
- Detached dormer style property
- Walking distance of Ballyhaunis town centre, schools, shops, train station
- Short drive to Knock, Ireland West Airport, Claremorris, Castlerea or Kiltimagh
- An hours drive to Galway, Sligo, Athlone or Westport
- Fantastic opportunity
- Excellent value
- Viewing comes highly recommended